
UNLOCK A
SUSTAINABLE FUTURE
with Behavioral Science, Business Economics, and Artificial
Intelligence

The
Revolutionary Choice Wave:
Transforming Decision-Making Across Disciplines
The
groundbreaking psychological and mathematical theory
with applications in business, economics, diplomacy, sustainability.

Would you like the short version? Here it is!
Some
people feel very sure about their thoughts, but others might say they
are wrong. Economists used to think everyone made choices in a very
logical way. But some new thinkers, like Richard Thaler and Daniel
Kahneman, showed that people often don't follow strict logic. They
introduced the idea of "quasi-rationality," which means people can have
different ways of thinking and making choices.
Then, a new idea
called the "Choice Wave" came around that helps explain how different
people make decisions. It says that everyone can have their own way of
making choices, but they still try to make the best choice for
themselves. This means that before making a choice, there are many
possible options, and the final choice can depend on many things in a
person's mind.

The Choice Wave
also shows that people can
influence each other. This is explained by the "multipoint
gravitational model," which looks at how people affect each other's
decisions based on their distance and connections.
Finally, the
"Theory of Parallel Rationality" says that different groups of people
can have their own ways of thinking, and sometimes these ways do not
match. This can lead to problems if one group's best choice harms
another group's interests. To solve this, we need something called
"bridges," which help align what different groups want.
Overall,
these ideas can help us understand people's choices better and improve
how we make decisions in business, education, police-public
interaction, and even global policies.
Ready for
the long version? Keep
reading below.
So, what is this all about?
Have you ever
felt absolutely certain about your
thoughts or choices, only to be told by others that you're mistaken or
even irrational? Deep down, you know you’re not wrong or irrational,
right? For many years, economists have been constrained by the
traditional theory of classical rationality. This framework revolves
around the concept of the "economic man," who is believed to optimize
utility based on a rigid set of logical principles.
However, groundbreaking behavioral economists, including recent Nobel
Prize winners Richard Thaler and Daniel Kahneman, along with notable
figures like Matthew Rabin and Amos Tversky, emphasized the
crucial psychological dimensions of economics (Rabin,
1998). They introduced the idea of "quasi-rationality,"
which acknowledges that individuals often stray from classical
rationality, leading to results that diverge from what standard
economic models predict (Russell and Thaler, 1985;
Kahneman and Tversky, 1979). Their pioneering research
highlights an essential truth that had long been overlooked in
economics: people are inherently diverse.
But that only takes us so far. The question remains: who determines
what is rational versus quasi-rational? How do different groups of
individuals behave in distinct ways? And ultimately, how should these
variations influence the way we approach and engage with one another?
The first benefit of the Choice Wave is that it conceptually permits individuals to make different choices at each decision point and still be utility-maximizing and rational. Before the individual makes a choice, each utility-maximizing possible choice has a certain probability of being the one chosen. At the point of decision, the choice is made, revealing individual preference at that exact moment. As the various factors that comprise the decision strategy are considered within the mind, the outcome is probabilistic until the choice has been revealed at the decision point.
Eqn. 1 expresses the notion that the probability of choosing the expenditure value, e, is equal to the probability that the utility of that expenditure conditional on time, i.e., at the decision point, maximizes utility. At the decision point, the probability that the consumer will choose the level of expenditure becomes 1. Before the decision, all utility-maximizing choices are possible, each with a certain probability.

By modeling each different type of individual in a market by a Choice Wave, which is mathematically orthogonal to every other Choice Wave in an n-dimensional Hilbert space, a full model can be developed in which each type of individual maximizes utility according to their own rationality. Orthogonality means that each type of individual has a statistically different and, in its purest form, non-interacting decision strategy. (See Fig. 1. - Consumers of different orthogonal types exist on different "planes" of choice.)

A form of Choice Wave that satisfies the assumptions of Choice Waves is derived from Eqn. 2. The term H is given in Eqn. 3, where U(e) is actual utility, and Up(e) is potential utility as a function of expenditure.


And what is a "type" of individual (also known as a Consumer Type)? Each individual could theoretically have a completely separate Choice Wave. However, individual behaviour is typically similar statistically to the behaviour of certain individuals and different from others. Those that are similar comprise a distinct type of individual that may be modeled by a single Choice Wave. If, for example, there are two distinct types of individual in the economy, A and B, with decision strategies that satisfy the assumptions of Choice Wave Probabilistic Demand, then they may be modeled by two orthogonal Choice Waves, ΨA and ΨB. Not only does this make practical modeling of the economy in the framework easier, it allows for both simple trends that exist naturally among independent decision strategies of individuals and for "group-think" scenarios, such as fads.
Rather than a sub-group of "quasi-rationals" who deviate from economic rationality, everyone may be treated as rational, maximizing utility according to their own strategy, for a Choice Wave permits every possible utility-maximizing choice, each with a certain probability, and no choices that do not maximize utility at the decision point. A Choice Wave "collapses" to probability of 1 once the choice has been revealed, but is indeterminate when the choice is still in the consumer's head. Similarly, an indifference curve "floats" on the budget constraint line until the choice is made. (See Figs. 2 & 3.) The key variable of the model then becomes an expectation value.
Econometrically, this implies that data sets containing multiple types of individuals should be split according to those types and estimated separately (Johnson, 2016). In marketing, different strategies can be employed for the different types. In strategic policy, the Choice Wave can be used to model probabilistic decision strategies between different actors and potentially separate them by type (Johnson, 2017).




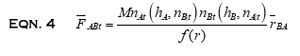
People do not live in a vacuum. An individual's decision strategy may be influenced by a variety of psychological factors, include the influence of information and other individuals. The economic multipoint gravitational model is a mathematical method for conceptualizing the various forms of interaction and influence between individuals. The multipoint version of the model, based on gravitation models in physics, permits each actor both to influence and be influenced by each and every other actor. The degree of that influence depends on relative strength of influence and effective distance, where the effective distance may not be physical (Johnson, 2015). For example, one may be influenced by affinity groups or people a great distance away over the internet more than by one's neighbours. Additionally, the multipoint gravitational model may be used to incorporate the effects of history and personal experience (Johnson, 2017a). These aspects of decision strategy can influence probabilities associated with each utility-maximizing choice and therefore can become a component of a given Choice Wave. A basic equation for the force of interaction is given by Eqn. 4, where M is a constant, nA and nB are terms representing strength of influence for players A and B respectively, hA and hB represent historical effects, and f(r) is some function of the effective distance between the players. The force vector of A acting on B is in the vector direction, as indicated, from B to A. There is, then, also a similar force equation for B acting on A. In Eqn. 4, the influence terms are not only a function of historical experience, but are expressed as a function of the influence term of the other player to allow for possible strategic interaction or subconscious transactions. Insofar as such interaction does not exist in a particular case, those terms may be removed.

Eqn. 5 is the equation of the effect of A acting on B. It may be thought of as B "accelerating" towards A or, should the term be negative, then A towards B. The net effect of all other players acting on a specific player then may enter into that player's utility maximization problem, given in Eqn. 6, where S(N) is a subconscious component based at least in part on the influence of others, k(x) is some form of utility function, and Y is income as usual.


If there are multiple types of individuals in the market, each maximizing utility based on their own decision strategies, and, on average, those types are statistically different from each and every other type, then they may each be represented by a Choice Wave, which is mathematically orthogonal to each and every other Choice Wave. Each type constitutes a non-interacting parallel "economic world," each with its own distinct rationality.
Individuals in each parallel "world" maximize utility according to their own rationality, as contained within their decision strategy, and distinctly from those in other "worlds." The classical "economic man" still exists, but there is an infinite number of different versions of him in an infinite number of parallel "economic worlds."
In some cases, these parallel rationalities simply represent different types of consumer in a market. In some cases, however, two or more parallel rationalities (represented by mathematically orthogonal Choice Waves) may both represent stakeholders in a particular economic scenario. If the decision strategy of each parallel state of rationality chooses an outcome significantly different from the other stakeholders, then there is a misalignment of incentives, and an inefficient allocation of resources and sub-optimal outcomes may result. A "bridge," in the form of an institution or mechanism, is necessary to span the two economic worlds and align their incentives to create a more efficient allocation of resources and a more optimal outcome.

In the case of externalities, for example, a producer that does not bear the cost of environmental damage may make decisions without taking into account sustainability issues. Consumers, on the other hand, feel the cost of that environmental damage. Producers and consumer have different decision strategies and comprise different economic worlds (each represented by a distinct Choice Wave), the the preferred outcome of producers does not align with the preferred outcome of consumers. A Pigouvian tax is one form of bridge that can span those two worlds, aligning incentives and hence aligning decision strategies to yield a more optimal outcome. Both producers and consumers remain separate economic worlds, however, since their strategies only align in the presence of a bridge.
Bridges, akin to a wormhole in quantum theory, may be naturally-occurring or artificial. A Pigouvian tax, as in the previous example, is a form of artificial bridge. An institution that helps to facilitate transactions by eliminating friction could also be an artificial bridge. Mathematically, artificial bridges are typically included within a constraint term within the Choice Wave. The probabilistic decision strategy is the same, yet faces different constraints in the presence and absence of the artificial bridge.
A natural bridge, on the other hand, occurs when there are overlaps between consumer types. Although the "worlds" of consumer types are non-interacting and statistically different in expectation, there exists a probability that a particular choice of one individual may be, at a specific decision point, statistically with the choice of another individual. That constitutes a natural bridge and only exists as long as those choices happen to align. Should those two individuals both be opposite parties to a transaction, such as a supplier and a buyer, such bridges can result in alignment of incentives and more optimal outcomes, however fleeting it may be. Eqn. 7 gives the general form of the probability of a natural bridge, B, existing between two actors, A and B. The integrals in Eqn. 7 are taken over the boundaries a and b of every possible range of overlap of choices.

In strategic policy in general, actors may easily find themselves in situations in which the optimal outcome for one side does not align with the optimal outcome of another side. In more extreme cases, the optimal solution for one side may not only misalign with that of the other side, but may actually be harmful to the other side. In global diplomacy, this model demonstrates diplomatic rivalry and, when misalignment increases sufficiently, the origins of a war. The potential misalignment of incentives predicted by the Theory of Parallel Rationality implies that situations may exist in which the best decision of countries is not to cooperate or seek a peaceful solution, for to do so would benefit the opposing side at one's own expense. Depending on the circumstances, that can result in an extreme form of a "prisoner's dilemma" game. Furthermore, such scenarios may impose negative externalities on other countries, yielding a sub-optimal societal outcome. The only solution is a bridge that helps to align the incentives of the interacting countries to yield a more optimal outcome for each interacting country and a more optimal societal outcome for the world at large.
References & Suggested Reading
Rutherford Johnson. "The Choice Wave: An Alternative Description of Consumer Behavior. Research in Business and Economics Journal. Vol. 5. February 2012.
Rutherford Johnson. "Improving Police-Public Conflict Resolution to Improve Sustainability Decision Strategy." Journal of Human Resource and Sustainability Studies. Vol. 9. No. 4. 2021.
Rutherford Johnson. "A Probabilistic Demand Application in the American Cracker Market." International Journal of Food and Agricultural Economics. Vol. 4. No. 3. 2016.
Rachel Lundbohm & Rutherford Johnson. "Implications of Hybrid Courses on Perceived Learning of Undergraduate Students and their Anticipated Benefits in a Post-Pandemic Environment." Transnational Journal of Business. Vol. 7. 2022.
Rutherford Johnson. "Choice Waves and Strategic Interaction." Journal of Technology Research. Vol. 7. March 2017.
Rutherford Johnson and Eddie Walker II. "A Probabilistic Shortage of Private Land Opened to Hunters in Northwest Minnesota." Modern Economy. Vol. 9. No. 1. January 2018.
Rutherford Johnson. " The Inclusion of Geo-Cultural, Historical, and Legal Considerations in the Analysis of Anglican and Roman Ecclesiastical Division." Interdisciplinary Journal of Research on Religion. Vol. 13. 2017a.
Rutherford Johnson. "A Spatial Application of Choice Waves: Decline in Church Giving in the United States during the Recession." Journal of Behavioral Studies in Business. Vol. 8. 2015.
Kahneman, Daniel; and Amos Tversky. (1979) "Prospect Theory: An Analysis of Decision under Risk." Econometrica. Vol. 47, No. 2.
Rabin, Matthew. "Psychology and Economics." Journal of Economic Literature. 1998.
Russell, Thomas, and Richard Thaler. "The Relevance of Quasi Rationality in Competitive Markets." American Economic Review. 1985.
Entire Contents Copyright © 2008-2024. Rutherford Johnson. All rights reserved.